API 618 Pulsation Guidelines
(1) Maximum allowable pulsation in piping system
Per API 618 (6th Ed.) Clause 7.11.7.3.1, the allowable pulsation limit in the piping system with absolute line pressures above 3.5 bara (50 psia) is specified as,
Where,
Percentage of maximum allowable peak-to-peak pressure pulsation to the absolute line pressure (%)
Absolute line pressure (bara)
Speed of sound for the gas (m/s)
Pipe inside diameter (mm)
For absolute pressures less than 3.5 bara (50 psia), the above equation shall be multiplied by 
(2) Maximum allowable pulsation at compressor cylinder flange
Per API 618 (6th Ed.) Clause 7.11.7.2, the allowable pulsation limit at the compressor cylinder flange is specified as,
Where,
Percentage of maximum allowable peak-to-peak pressure pulsation to the absolute line pressure at the compressor cylinder flange (%)
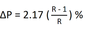
(3) Maximum allowable pressure drop
Per API 618 (6th Ed.) Clause 7.11.8.1, the steady flow pressure drop shall not exceed 0.5% of mean absolute line pressure at pressure ratios less than or equal to 1.4. At pressure ratios greater than 1.4, the value is specified as,
Where,
Percentage of maximum allowable pressure drop to the absolute line pressure (%)
If the pulsation control device includes an integral moisture separator, the steady flow pressure drop shall not exceed 0.6% of mean absolute line pressure at pressure ratios less than or equal to 1.4. At pressure ratios greater than 1.4, the value is specified as,
(4) Maximum allowable piping acoustic shaking force
Per API 618 (6th Ed.) Clause 7.11.7.4, the allowable piping non-resonant shaking force limit is specified as,
Where,
Non-resonant piping shaking force guideline (N)
Non-resonant shaking force guideline relative to static structural stiffness (N)
Non-resonant piping shaking force guideline based on support strength (N)
The shaking force guideline is applied to non-resonant vibration. Shaking forces near resonance shall be reduced well below the guideline specified above.
In the above equation, SFk and SFpmax are specified as,
Where,
Effective static stiffness along the piping axis where the shaking force acts (N/mm)
Design vibration guideline given in API 618 (6th Ed.) Clause 7.11.7.4.1 (mm)
(5) Maximum allowable pulsation control device acoustic shaking force
Per API 618 (5th Ed.) Clause 7.11.7.4, the allowable pulsation control device non-resonant shaking force limit is specified as,
Where,
Non-resonant pulsation suppression device shaking force guideline (N)
Non-resonant shaking force guideline relative to static structural stiffness (N)
The shaking force guideline is applied to non-resonant vibration. Shaking forces near resonance shall be reduced well below the guideline specified above.
In the above equation, SFk is specified as,
Where,
Effective static stiffness along the pulsation control device axis where the shaking force acts (N/mm)
Design vibration guideline given in API 618 (6th Ed.) Clause 7.11.7.4.1 (mm)
Acoustical Simulation Tools
Several analysis tools are available for acoustical simulations of reciprocating compressor packages. At CCPGE, we use Bentley PULS XM Option 3, BOSpulse, and an in-house developed program to perform the acoustical simulations in accordance with the latest API 618 Standard.
Bentley PULS XM Option 3 utilizes the transfer matrix approach to relate acoustical pressure and acoustical volume velocity across all elements of the model. It calculates pulsation-induced shaking forces along pipe segments and vessels, predicts pressure drops across each element, and compares the calculated pulsations, shaking forces, and pressure drops with the allowable limits specified by API 618 standard.
BOSpulse employs both transient (time domain) and harmonic (frequency domain) solution methods for acoustical simulations of reciprocating compressor systems. This software enables analysts to simulate periodic pressure pulsations in piping systems, compare the results against API 618 limits, and assess the impact of these pulsations on the structural behavior of the system.
At CCPGE, we have also developed an in-house pre- and post-processing program to manage the input and output data from these commercial tools across all operating cases. This program significantly accelerates the simulation process while maintaining high quality to better serve our clients' interests.